伟德bv1946官网
MENU
网站首页
学院概况
学院简介
组织结构
教师风采
专业设置
本科专业
专科专业
教学工作
教学管理
专业建设
课程建设
科研教改
学科竞赛
学生工作
学生活动
学生社团
学子风采
校友风采
党建工作
组织架构
政治学习
支部活动
党员风采
对外合作
访企拓岗
实习实训
招生就业
招生工作
就业工作
学校首页
网站首页
学院概况
学院简介
组织结构
教师风采
专业设置
本科专业
专科专业
教学工作
教学管理
专业建设
课程建设
科研教改
学科竞赛
学生工作
学生活动
学生社团
学子风采
校友风采
党建工作
组织架构
政治学习
支部活动
党员风采
对外合作
访企拓岗
实习实训
招生就业
招生工作
就业工作
学校首页
招生就业
招生就业
招生工作
就业工作
招生工作
当前位置:
网站首页
->
招生就业
->
招生工作
-> 正文
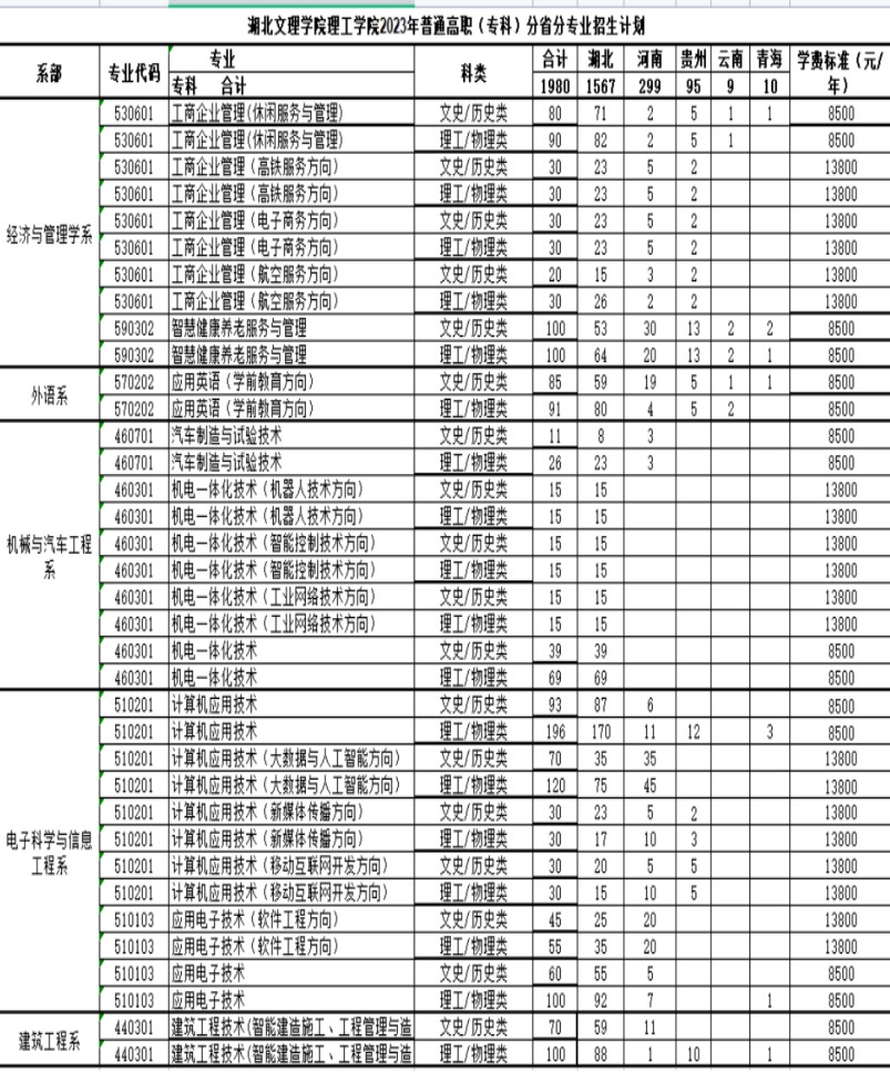
伟德bv1946官网2023年普通高职(专科)分省分专业招生计划
2023-06-26 点击:[]