伟德bv1946官网
MENU
网站首页
部门概况
工作动态
通知公告
政策法规
法律法规
规章制度
业务办理
水电查询
报修维修
访客预约
监控查询
大型活动报备
机动车管理
电动自行车通行证办理
安全教育
政治安全
消防安全
反诈宣传
交通安全
学校首页
网站首页
部门概况
工作动态
通知公告
政策法规
法律法规
规章制度
业务办理
水电查询
报修维修
访客预约
监控查询
大型活动报备
机动车管理
电动自行车通行证办理
安全教育
政治安全
消防安全
反诈宣传
交通安全
学校首页
工作动态
工作动态
工作动态
当前位置:
网站首页
>>
工作动态
>> 正文
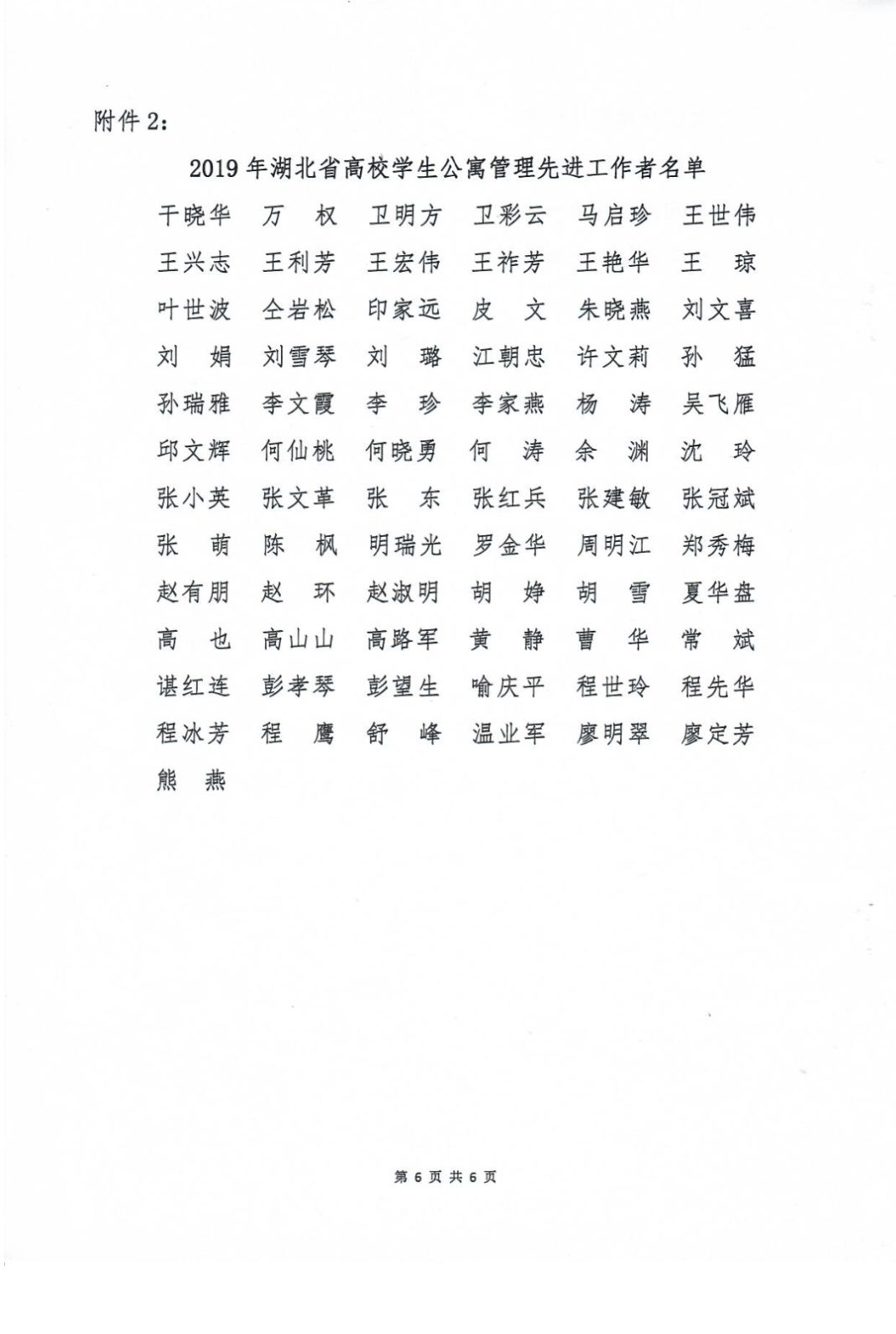
我处被评选为2019年度湖北省公寓管理先进单位
2020年08月24日 16:47 点击:[]
祝贺我处被评选为2019年湖北省高校学生公寓管理先进单位,我处张萌同志被选为公寓管理先进工作者。
文件如下:
上一条:
消毒防疫,我们在行动
下一条:
放心的午餐